Hằng số spring của đất(Soil spring constant) được tính toán sử dụng các thông số diện tích móng, chiều dày và chiều sâu chôn móng, hệ số poisson m, mô đun cắt G. Hằng số spring của móng nông hình chữ nhật được tính toán sử dụng công thức thực nghiệm của ASCE 41-06. Sử dụng các hằng số spring(độ cứng) để mô tả trong các điều kiện biên mô hình cầu có thể chấp nhận được vì việc mô tả các spring phi tuyến rất phức tạp.
Ở đây trục X là trục dọc theo chiều kích thước lớn hơn(L>B) tức là trục theo chiều dài L.
Trong đó K là hằng số spring ( Spring constant)
Ksur là Độ cứng của móng tại bề mặt( Foundation stiffness at surface)
b là hệ số điều chỉnh theo chiều sâu(correction factor for embedment)
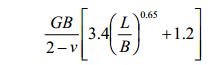
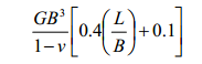
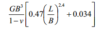
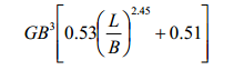
Ksur được tính toán như sau:
Dịch chuyển phương trục x(Translation about x-axis):









This comment has been removed by a blog administrator.