I. Tổng quan về thiết kế cọc
Sức chịu tải của cọc là một đại lượng rất quan trọng được dùng trong suốt quá trình thiết kế móng cọc. Việc xác định đại lượng đó đúng hay không so với thực tế sẽ ảnh hưởng rất nhiều và có khi có ảnh hưởng quyết định tới giá thành của móng cọc.
Cọc trong móng bị phá hoại do:
– Do bản thân cường độ vật liệu của cọc bị phá hoại.
– Đất nền không đủ sức chịu.
Vì vậy, khi thiết kế phải xác định sức chịu tải cọc về cả 2 mặt: sức chịu tải cọc theo vật liệu và sức chịu tải cọc theo đất nền. Trị số nhỏ nhất trong hai trị số đó được dùng để tính toán móng cọc. Và trong thiết kế chúng ta phải chọn kích thước cọc sao cho hai trị số đó không được chênh lệch nhiều để thỏa mãn điều kiện kinh tế. Và trong mọi trường hợp không được thiết kế mà sức chịu tải theo vật liệu cọc nhỏ hơn sức chịu tải theo đất nền.
Trình tự thiết kế cọc :
-Lựa chọn kích thước cọc, loại cọc và căn cứ điều kiện địa chất xác định được tải trọng dọc trục lớn nhất mà cọc chịu được.
– Với kích thước cọc chọn, cọc sẽ chịu được tải trọng ngang lớn nhất là bao nhiêu.
– Kiểm toán độ lún, chuyển vị ngang, tính toán chịu lực cọc trong quá trình vận chuyển, treo cọc lên giá búa…
II. Tính toán sức chịu tải cọc
1. Sức chịu tải cọc theo vật liệu
a. Sức kháng uốn dọc trục của cọc
– Sức kháng tính toán dọc trục của cọc được tính như sau:
Pr = q.Pn
Trong đó:
Pr : Sức kháng tính toán dọc trục của cọc(kN)
q : Hệ số sức kháng nén lấy bằng 0.75
Pn: Sức kháng dọc trục danh định của cọc(kN)
Đối với cấu kiện có cốt đai xoắn:
Đối với cấu kiện có cốt đai thường:
fc’ : Cường độ nén bê tông ở tuổi 28 ngày.
Ag : Diện tích nguyên của mặt cắt ngang(mm2)
Ast : Giới hạn chảy quy định của cốt thép (MPa)
Aps : Diện tích của thép dự ứng lực (mm2)
Ep : Mô đun đàn hồi của thép dự ứng lực (Mpa)
fpe : Ứng suất có hiệu trong thép dự ứng lực sau mất mát (Mpa)
ecu: Ứng biến phá hoại của bê tông trong chịu nén
kc: Tỷ số giữa ứng suất nén lớn nhất của bê tông và cường độ chịu nén của bê tông
kc = 0.85 khi fc’ >= 70Mpa, kc = Max(0.75,0.85-0.02*(fc’-70)/7)
fy : Cường độ chảy của thép (Mpa)
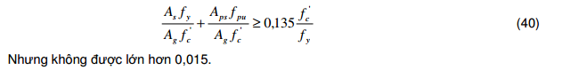
b. Giới hạn về cốt thép
Diện tích cốt thép dự ứng lực và cốt thép thường theo chiều dọc của cấu kiện chịu nén không liên hợp tối đa được xác định như sau:
![]() |
Diện tích cốt thép dự ứng lực và cốt thép thường theo chiều dọc của cấu kiện chịu nén không liên hợp tối thiểu được xác định như sau:



