Strut and Tie Model – Bạn có biết? Phần 3

III. Phân tích các bước thiết lập mô hình giàn ảo(STM)

3.1 Chia tách vùng B và vùng D của cấu kiện

Bước đầu tiên trong quá trình thiết kế STM là
chia kết cấu thành các vùng B và vùng D sử dụng quy tắc St.Venant. Nếu kết cấu
chỉ gồm các vùng D, quá trình thiết kế STM nên được sử dụng để thiết kế toàn bộ
kết cấu. Nếu kết cấu chứa cả vùng D và vùng B, thì vùng kết cấu có ứng xử dầm
cao(như được đề cập ở phần 1) nên sử dụng thiết kế theo các bước thiết kế STM. Phần kết cấu chịu ảnh hưởng
của ứng xử mặt cắt có thể được thiết kế sử dụng thiết kế mặt cắt. Tuy nhiên, nếu
chỉ một phần nhỏ kết cấu là vùng B, thì kỹ sư có thể quyết định việc sử dụng mô
hình STM cho toàn bộ kết cấu là hợp lý và sẽ dẫn đến một thiết kế phù
 hợp.
Tiêu chuẩn thiết kế STM  đã được xem xét kỹ lưỡng để giảm
thiểu tối đa sự khác nhau giữa các bước thiết kế mặt cắt và các bước thiết kế
STM khi tỉ 
lệ a/d là tỉ lệ mà ứng xử của bộ phận kết cấu
chuyển tiếp từ ứng xử dầm cao sang ứng xử mặt cắt( tỉ số a/d xấp xỉ 2).
3.2 Thiết lập tổ hợp tải trọng

Bước kế tiếp trong trình tự thiết kế
là xác định các tải trọng sẽ tác động lên các nút của mô hình STM. Trước tiên,
các bạn nên xác định các trường hợp tải trọng cực hạn cần thiết phải xem xét. Mỗi
trường hợp tải trọng( chính là mỗi vị trí đặt hoạt tải) sẽ tạo ra hệ lực duy nhất
trong các thanh nén và thanh kéo trong mô hình STM, tạo ra sự thay đổi các vị
trí vùng giới hạn của mô hình STM. Do đó, khi phân tích một mô hình STM, chúng
ta nên tính toán nó trên mỗi một trường hợp tải trọng giới hạn. Trong một số
trường hợp, các kích thước hình học của mô hình STM phải được thay đổi với mỗi
loại trường hợp tải trọng ( thiết kế hệ móng cọc khoan nhồi trong chương 8).
Tuy nhiên, ở các ví dụ khác, các kích thước hình học của mô hình STM có thể vẫn
giống nhau với tất cả các trường hợp tải trọng khác nhau. Sau khi các mô men và
tải trọng( đã nhân hệ số ) tác dụng lên kết cấu với một trường hợp tải trọng đặc
biệt, kỹ sư nên xác định một mô hình STM phù hợp với trường hợp tải trọng đó.
Chúng ta có thể quy đổi các tải trọng tác dụng để dễ dàng trong việc mô hình
STM. Cụ thể, việc hiệu chỉnh có thể thực hiện như sau:

–   Một mô men tác động lên kết cấu phải được thay
thế bằng ngẫu lực hoặc một hệ lực tương đương vì mô men không thể áp dụng được
với mô hình giàn.

·      –  Các tải trọng tập trung tác động lên kết cấu ở vị
trí rất gần so với các lực tập trung khác có thể được tổng hợp lại với nhau để
đơn giản hóa việc mô hình STM.

·        – Một tải trọng phân bố tác động lên kết cấu phải
được phân chia thành một hệ các lực tập trung tác động tại nút của mô hình STM
vì các tải trọng phân bố không thể áp dụng với mô hình giàn. Trọng lượng bản
thân của kết cấu phải được xét đến khi mô hình tải trọng STM.

ThThông thường, Việc xác định cách các tải trọng
tác động lên mô hình STM được tiến hành đồng thời với việc mô hình STM .

3.   3.3 Phân tích kết cấu

Trong bước thiết kế này, các lực
tác động lên kết cấu tại các biên của vùng D sẽ được xem xét tính toán. Những
hiểu biết về các lực trong vùng biên này được sử dụng để xác định (1) các kích
thước hình học của mô hình STM và (2):được sử dụng để xác định các lực xuất hiện
trong các thanh nén và thanh kéo. Trước tiên,với mỗi trường hợp tải trọng,chúng
ta nên sử dụng các tải trọng đã nhân hệ số tác động lên bộ phận kết cấu và áp dụng
phân tích đàn hồi tuyến tính cho toàn bộ kết cấu để xác định các phản lực gối.
Nếu bộ phận kết cấu bao gồm cả vùng B và vùng D và chỉ một phần của kết cấu được
thiết kế theo mô hình STM, thì các nội lực và mô men trong vùng B nên được lấy
bằng các giá trị nội lực và mô men tại biên của vùng D. Giả thiết rằng phân bố ứng
suất tại mặt phân cách giữa vùng B và vùng D là đàn hồi tuyến tính như được thấy
trong hình 6.Sự phân bố ứng suất này được dùng để xác định các lực tác động
lên mô hình STM tại mặt phân cách giữa vùng B và vùng D. Vị trí của mặt phân cách này được xác định bằng cách sử dụng quy tắc
St.Venant như được trình bày ở phần 3.1. Các tải trọng( đã nhân hệ số) và các lực
ở biên sau đó được sử dụng tác động lên vùng D để xem xét phát triển và phân
tích mô hình STM.



Hình 6: Phân bố ứng suất tuyến tính được giả thiết ở mặt phân cách giữa vùng B và vùng D

T       Thêm vào đó, việc kiểm toán khả năng chịu cắt được trình bày trong phần sau dưới đây yêu cầu kết cấu được phân tích chịu
tác dụng của các tải trọng ở trạng thái sử dụng( không nhân hệ số) để xác định
các lực cắt trong các vùng D của kết cấu cần xem xét.

2. 3.4 Xác định kích thước bộ phận kết cấu thông qua kiểm
toán khả năng sử dụng về cắt

Trước tiên, để
xác định kích thước  bộ phận kết cấu cần
thiết kế, các kích thước hình học của nó có thể được chọn theo cách làm giảm rủi
ro gây ra biến dạng của các vết nứt chéo chịu tác dụng của các tải trọng ở trạng
thái sử dụng. Và việc này được thực hiện bằng cách sử dụng kiểm toán khả năng chịu cắt ở TTGHSD. Mục đích của kiểm toán
này là để dự đoán khả năng các vết nứt chéo tạo ra trong các vùng D của dầm
đang sử dụng. Để tiến hành kiểm toán, các lực cắt trong các vùng D của dầm được
xem xét chịu các tải trọng ( không nhân hệ số) ở trạng thái sử dụng. Tải trọng
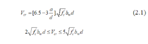
tính toán làm cho các vết nứt chéo bắt đầu xuất hiện, Vcr, sau đó được
tính toán để xác định các thông số hình học của các vùng D sử dụng công thức sau:

     

Trong đó:

a: các bước chịu cắt (m)

d: chiều cao hữu hiệu của cấu kiện (m)

fc’: cường độ nén đặc trưng của bê tông (kN/m2)

bw : chiều rộng sườn của cấu kiện (m)

Do đó, Vcr phụ thuộc vào tỷ số a/d của vùng D được
xem đến cũng như cường độ nén của bê tông, fc’và diện tích chịu cắt
hữu hiệu bwd.

Sau khi tính toán giá trị của Vcr cho
một vùng cụ thể, so sánh giá trị của nó với lực cắt ở trạng thái sử dụng trong
phần của kết cấu đó. Nếu lực cắt lớn nhất ở trạng thái giới hạn sử dụng nhỏ hơn
Vcr, các vết nứt chéo sẽ không xuất hiện. Nếu lực cắt lớn nhất ở trạng
thái sử dụng lớn hơn Vcr, thì các vết nứt chéo sẽ xuất hiện khi kết
cấu chịu tải trọng ở trạng thái giới hạn sử dụng. Kỹ sư có thể 
lựa chọn chấp nhận xuất hiện các vết nứt ở trạng thái sử dụng
nếu độ bền và mỹ quan không được quan tâm. Nếu không  cần sử dụng một số biện
pháp để chống lại biến dạng nứt ở trạng thái sử dụng. Trước tiên, khả năng xảy
ra các vết nứt chéo có thể được hạn chế bằng cách thay đổi các kích thước hình
học của cấu kiện( tăng diện tích chịu cắt hữu hiệu, bwd hoặc giảm tỷ
số a/d). Việc tăng cường độ chịu nén  của
bê tông cũng có thể làm hạn chế các vết nứt chéo. Nếu các lựa chọn này không khả
thi, thì chúng ta có thể tăng số lượng cốt thép kiểm soát nứt lên để kiểm soát
bể rộng các vết nứt tạo ra ( tham khảo phần định lượng cốt thép kiểm soát nứt ở phần sau). Tuy nhiên, các nghiên cứu cho thấy rằng lượng cốt thép bố trí trong sườn mà
vượt quá 0.3% sẽ chỉ làm hạn chế một lượng nhỏ bề rộng vết nứt xiên lớn nhất khi chịu tác động
của tải trọng sử dụng( Birrcher và các cộng sự,2009).

Biểu đồ của tải trọng gây nứt theo phương pháp tuyến theo tỷ
số a/d của các mẫu được thí nghiệm là một phần trong dự án nghiên cứu về mô hình giàn ảo. Công thức tính toán tải trọng gây nứt chéo cũng được nghiên cứu kỹ lưỡng trong dự án TxDOT 0-5253. Các bạn cần
chú ý rằng các cận trên và cận dưới của công thức (2.1) xảy ra tương ứng với a/d bằng 0.5
và 1.5.

Công thức (2.1) được áp dụng cho các cấu kiện như xà mũ trụ, đầu dầm cắt khấc…. nhưng không áp dụng được với hệ móng cọc khoan nhồi vì công thức trên chỉ áp dụng với các cấu kiện dạng dầm.

 3.5 Phát triển mô hình STM

3.5.1 Tổng quan về phát triển mô hình STM

Xây dựng mô hình STM thông thường được thực hiện
bằng hai bước. Đầu tiên, Xác định kích thước hình học của mô hình STM bằng việc
sử dụng những hiểu biết về các vị trí đặt lực tác động và các lực trên biên. Tiếp
theo, phân tích mô hình STM để xác định các lực trong các thanh nén và thanh
kéo.

3.5.2 Xác định kích thước hình học mô hình STM

Trong việc xây dựng
mô hình STM, việc bố trí các thanh nén và các thanh kéo nên đại diện cho các
dòng lực đàn hồi trong bộ phận kết cấu ( Bergmeister và cộng sự., 1993; Schlaich và cộng sự., 1987). Kỹ sư sẽ có một số lựa chọn để xác định hướng của các thanh kéo và
thanh nén: (1) sử dụng vị trí của các lực tác dụng và các lực trên biên để xây
dựng một đường truyền tải trọng phù hợp và thay thế bằng các thanh nén và
thanh kéo; (2) theo những mô hình nứt đã biết của kết cấu đang được thiết kế nếu
có( MacGregor và Wight, 2005); hoặc (3) sử dụng phương pháp phần tử hữu hạn để
nhận biết các dòng lực trong bộ phận kết cấu và bố trí các thanh nén và thanh
kéo theo đó.

Các thanh kéo đại diện cho cốt thép trong kết cấu. Do đó mỗi thanh kéo phải được đặt ở vị trí
tương ứng với trọng tâm của các thanh thép được bố trí để chịu lực trong thanh
kéo. Ví dụ, các thanh kéo thay thế cốt thép dọc ở thớ dưới của dầm( Hình 7)
nên được bố trí ở trọng tâm của cốt thép này có xét đến lớp bê tông bảo vệ ở
đáy dầm.

Các thanh nén
hình lăng trụ trong dầm, ví dụ như các thanh nén ngang dọc theo thớ trên của cấu
kiện hình 7, được đặt ở vị trí mà phụ thuộc vào hoặc(1) chiều cao a của khối ứng
suất nén hình chữ nhật được xác định giống như phân tích uốn thông thường hoặc
(2) chiều cao tối ưu của mô hình STM, hSTM. Nếu dùng phương án 1,
thì các thanh nén được bố trí tại trọng tâm của khối ứng suất ( tức là bằng a/2
tính từ mép trên cùng của dầm). Nếu dùng phương án 2, thì các thanh nén hình
lăng trụ được đặt ở vị trí làm tối ưu hóa chiều cao của mô hình STM nhằm tăng
hiệu quả của mô hình STM( tức là tăng cánh tay đòn mô men). 

Sau khi bố trí
các thanh kéo dọc và thanh nén hình lăng trụ, chúng ta bố trí các thanh còn lại
trong mô hình bằng cách xem xét các dòng lực đàn hồi trong kết cấu.
                                                         

                                            

Hình 7: Bố trí các thanh giằng dọc và thanh chống dạng lăng trụ trong mô hình STM

Mô hình STM cho xà mũ hẫng được thấy trong hình 8. Việc xây dựng mô hình STM này dựa vào vị trí các tải trọng tác dụng và các lực trên biên của vùng D. Chúng ta không  dựa vào những hiểu biết về các mô hình nứt hoặc các trường ứng suất để xây dựng mô hình. Với mục đích mô phỏng, STM phụ thuộc hoàn toàn vào kết quả của phương pháp phân tích phần tử hữu hạn đàn hồi tuyến tính( Hình 8). Các thanh nén và thanh kéo được bố trí theo mô hình chung của các trường ứng suất nén và kéo. Việc xây dựng một mô hình STM khả thi thường có thể dựa vào các giả thiết phù hợp mà không cần các phân tích phức tạp. 


Hình 8 :Phân bố ứng suất đàn hồi và mô hình STM của xà mũ hẫng

Khi kích thước hình học của STM được
xác định, thì góc giữa thanh nén và thanh kéo giao ở cùng 1 nút phải không được
nhỏ hơn 25 độ. Khi góc giữa thanh nén và thanh kéo giảm thì cả lực kéo và lực
nén đều tác động trong cùng một vị trí lân cận của mô hình STM, điều đó là phi thực
tế. Để tránh trường hợp này, giới hạn góc 25 độ nhằm tránh biến dạng quá mức
trong cốt thép và giảm thiểu mở rộng vết nứt. Tầm quan trọng của góc giới hạn
này là không để chịu ứng suất quá lớn. Một số mô hình STM phù hợp thông thường
có thể được xây dựng cho kết cấu đặc biệt và các trường hợp tải trọng được xét
đến. Schlaich và các cộng sự 1987 nhắc nhở các kỹ sư rằng:” không có một cách giải nào
là duy nhất và tối ưu tuyệt đối” và “ luôn có 1 ngân hàng cho các quyết định
chủ quan”. Tuy nhiên các kỹ sư được khuyến cáo rằng việc thiết kế mô hình STM sẽ
là an toàn nếu mô hình này thỏa mãn điều kiện cân bằng với ngoại lực và bê tông
có đủ khả năng chịu biến dạng cho phép sự phân bố các lực như được giả thiết
trong mô hình STM. Bởi vì việc bố trí cốt thép trong giai đoạn thiết kế hoàn chỉnh
phụ thuộc vào mô hình STM được lựa chọn, nên các lực trong kết cấu sẽ có xu hướng
tạo thành dòng dọc theo các đường được giả thiết trong STM. Mặc dù xây dựng một
mô hình STM chính xác theo các dòng lực đàn hồi trong kết cấu không được yêu cầu,
nhưng việc lựa chọn mô hình STM chính xác nhất thay thế cho sự phân bố ứng suất
đàn hồi làm hạn chế tối đa khả năng xảy ra các vết nứt trong quá trình sử dụng
kết cấu. Sự phân tán các dòng lực làm tăng nguy cơ nứt trong  quá trình sử dụng.

3.5.3 Thiết lập các mô hình STM thực tế và hiệu quả – Các nguyên tắc cơ bản

Mô hình STM mà có các thanh giằng(thanh chịu kéo tie) ít
nhất và ngắn nhất thường là mô hình thực tế và hiệu quả nhất cho các cấu kiện
và các trường hợp tải trọng được xét. Các tải trọng có xu hướng tạo thành dòng
dọc theo một đường làm giảm thiểu tối đa các biến dạng. Trong các kết cấu
bê tông cốt thép, các thanh chống bê tông-strut ( vùng  ứng suất trung bình lớn) nhìn chung sẽ truyền
lực nén với biến dạng ít hơn so với cốt thép chịu kéo( vùng ứng suất lớn ít) (
Schlaich và cộng sự,1987). Trong hình 9, các lực sẽ tạo dòng dọc theo các đường
của mô hình STM bên trên bởi vì nó có ít thanh kéo hơn và gần tương xứng với
các dòng lực được xác định bằng phân tích đàn hồi (MacGregor và Wight, 2005).

Hình 10.Lựa chọn mô hình STM dựa vào số lượng và chiều dài thanh giằng

(Trích từ nghiên cứu của MacGregor và Wight,2005)

Tương tự, số lượng thanh kéo thẳng
đứng tối thiểu có thể nên được dùng để mô hình một dầm. Nói cách khác, mô hình
STM nên bao gồm số lượng tấm giàn ít nhất có thể mà vẫn đảm bảo quy tắc góc 25
độ giữa các thanh nén và thanh kéo tại cùng một nút. Các phương pháp mô hình
STM hiệu quả và không hiệu quả cho dầm giản đơn được mô tả trên hình 11. Để
thỏa mãn quy tắc góc 250, số lượng tối thiểu các tấm giàn có thể được
cung cấp giữa các tải trọng tác dụng và gối là 2, có thể thấy ở phần bên trái của
dầm. Bên phải dầm, nhiều hơn hai thanh đứng được sử dụng để mô hình các dòng lực.
Trên mặt này, lượng cốt thép đủ sẽ cần được cung cấp để chịu các lực trong 3
thanh kéo( 50kip), trong khi chỉ lượng cốt thép được yêu cầu để chịu lực trong
1 thanh kéo (50kip) ở phần bên trái dầm. Mô hình được sử dụng ở phần bên trái dầm
do đó hiệu quả hơn vì lượng cốt thép cung cấp cần thiết ít hơn và vẫn thiết kế vẫn
an toàn.

Hình 11: Sử dụng số lượng thanh giằng thẳng đứng nhỏ nhất ( và số tấm giàn) có thể

3.5.4 Phân tích mô hình STM

Các lực trong các thanh nén và
thanh kéo của mô hình STM trước tiên được xác định bằng cách sử dụng các tải trọng
ngoài, các phản lực gối và các lực trên biên khác tác động lên mô hình STM tại
các nút. Các lực trong kết cấu sau đó được tính toán sử dụng phương pháp tĩnh(
phương pháp tách nút hoặc phương pháp mặt cắt). Cách tiếp cận trên là hợp lý
cho các kết cấu tĩnh định cũng như các kết cấu siêu tĩnh với các gối thừa (
Hình 12).

Việc mô hình một kết cấu sử dụng một
mô hình STM nội siêu tĩnh( mô hình STM với các thanh nén hoặc kéo thừa không thể
giải được bằng phương pháp tách nút hoặc phương pháp mặt cắt tạo ra sự khó khăn vì độ cứng tương đối của các thanh kéo và nén ảnh hưởng đến các lực tính
toán trong mô hình giàn. Liên quan đến các mô hình STM siêu tĩnh, Brown và các cộng sự(
2006 ) khẳng định rằng:

Mô hình STM thuận lợi để tính toán
nhất là mô hình tĩnh định. Mô hình giàn tĩnh định sẽ chỉ cần điều kiện cân bằng
để xác định các lực trong các thanh giàn. Còn mô hình siêu tĩnh cần xem xét đến
độ cứng của các thanh trong giàn. Mà việc tính toán chính xác độ cứng của các
phần tử trong một mô hình STM không đơn giản vì kích thước hình học rất phức tạp.
Các thanh nén nhìn chung không phải dạng hình lăng trụ, và làm việc theo ứng xử
phi tuyến. Diện tích mặt cắt ngang của một thanh nén chỉ xác định được chính
xác tại vị trí các thanh nén chịu ảnh hưởng bởi một diện tích chịu lực ngoài. Tại
các vị trí khác, các kích thước hình học không thể xác định chính xác. Hệ quả
là độ cứng sẽ rất khó để xác định.

Nghiên cứu cho thấy rằng việc bỏ
qua độ cứng tương đối của các thanh trong các mô hình STM nội siêu tĩnh có thể
thu được các thiết kế thiên về an toàn( Kuchma và các cộng sự., 2008, 2011); cần nhiều
nghiên cứu hơn nữa để chứng minh quy tắc này có thể áp dụng cho tất cả các vùng
D. Nhiều phương pháp khác nhau đã được đưa ra để xác định sự phân bố lực trong
các mô hình STM siêu tĩnh như nghiên cứu của Ashour và Yang( 2007), Leu và các cộng sự(
2006), và Fib( 2008).Do các kỹ sư muốn mô hình cho tất cả các vùng D trong các
bộ phận của cầu đường bằng việc sử dụng các mô hình STM nội tĩnh định, nên các
phương pháp này không thích hợp cho việc thiết kế các bộ phận của cầu tương tự
với các phương pháp được trình bày trong các phần sau. Mặc dù một số kết cấu
được xét đến trong các ví dụ có các gối thừa, nhưng tất cả các
mô hình STM đều là mô hình nội tĩnh định. Độ cứng tương đối được giả thiết của
các thanh nén và thanh kéo do đó không phù hợp nếu phương pháp phân tích trên
được sử dụng.

Các bước xây dựng một mô hình STM
được trình bày trong hình 12. Trong hình này , các
giá trị lực âm trong mô hình STM biểu thị các thanh nén trong khi các giá trị lực
dương biểu thị các thanh kéo. Sau khi xây dựng một mô hình STM phù hợp và tính
toán được các lực trong các thanh nén và thanh kéo thỏa mãn các điều kiện cân bằng,
số lượng các thanh cốt thép cần thiết có thể được xác định và cường độ của các
nút sẽ được kiểm tra.

Hình 12: Các bước xây dựng mô hình STM
Trong phần tiếp theo, chúng ta sẽ tìm hiểu về tính toán số lượng cốt thép cần thiết, kiểm tra ứng suất tại các vùng node của mô hình STM sau khi đã thiết lập được mô hình STM và tính toán các lực trong các thanh giằng (tie) và các thanh chống(strut). Các bạn theo dõi blog để cập nhật kiến thức mới nhất nhé ! 

Để lại một bình luận

Email của bạn sẽ không được hiển thị công khai. Các trường bắt buộc được đánh dấu *